台視於1964年11月7日開始每週六20:25~20:55播出,取代原時段播畢的《錦繡年華》。第一季《無敵情報員》於1965年8月28日播畢,此時段由《英雄譜》Citizen Soldier影集接替。第二季一直到1966年10月才重回台視螢幕。
英國製作人Ralph Smart(1908–2001)找上了ITC製片公司,提出製作一部諜報員影集的計畫,並且請到007原著伊恩·佛萊明參與寫劇本;不過佛萊明在影集尚未開拍之前就退出了。
Danger Man《無敵情報員》第一季是個30分鐘(連廣告)影集,在英國由1960年9月~1961年6月共播出39集。雖然是英國影集,但主角派屈克·麥古漢Patrick McGoohan(1928–2009)飾演的崔克(John Drake)是替北約工作的愛爾蘭裔美國人,組織總部在美國首都華盛頓。劇情並非以動作為主,而是鬥智。與007龐德不同者是:崔克沒帶槍,與劇中的女性沒有曖昧關係。
Danger Man片頭:片中背景的美國國會大廈是貼上去的,其實這辦公大樓是在英國倫敦Marylebone Road,如今改名Marathon House,在1998年已經改為公寓。事實上在華盛頓特社的建築有法規限高,不會有這樣高度的大樓。
片頭中的旁白: Every government has its secret service branch. America, CIA; France, Deuxième Bureau; England, MI5. NATO also has its own. A messy job? Well that's when they usually call on me or someone like me. Oh yes, my name is Drake, John Drake.
每個國家都有自己的情報單位。美國,中情局;法國,第二局;英國,軍情五處,北約也有自己的。難搞的事?這個嘛,通常那就是他們找上我的時候了,或是找類似我的人。噢,對了,我的名字是崔克,約翰崔克。
片尾 (若圖像未顯示,點擊下方箭頭仍可觀看影片)
但是台視播出《無敵情報員》時,片尾影片如上,音樂卻不是;音樂是換成下面的High Wire(1964年以後英國版本的主題曲)。台視播出第一季時已是1964年,ITC公司在重新發行早期的片子時,片尾音樂已經改用如下的High Wire (高空索,危險的工作)這曲子。

Patrick McGoohan在美國紐約出生,父母都是愛爾蘭移民,他還很小時就被父母帶回去愛爾蘭,7年後又移居英國。他16歲時離開學校,從事過許多不同的工作。有次在劇院擔任舞台經理時,一名演員生病了,McGoohan臨時上場代演,開始了他的演藝生涯。1954年他首次演出電視劇,1955年進入電影圈;演過30餘部電影與許多電視劇。
在台灣上映過的電影範例:
A Time to Kill (1996) 殺戮時刻
The Phantom (1996) 轟天奇兵
Braveheart (1995) 梅爾吉勃遜之英雄本色
Brass Target (1978) 目標大作戰
Silver Streak (1976) 銀線號大血案
Mary Queen of Scots (1971) 英宮恨
Ice Station Zebra (1968) 大北極
The Three Lives of Thomasina (1963) 多情貓
Zarak (1956) 力敵萬人
The Dam Busters (1955) 轟炸魯爾水壩記
The Dark Avenger (1955) 黑王子
*(感謝小管提供以上中英片名)
* 1979年的Escape from Alcatra《亞特蘭翠大逃亡》未在台上映,但是常在電視的電影頻道中播出;他在片中飾演典獄長。
當ITC找上他演《無敵情報員》時,Patrick McGoohan提出了要求,這角色要用智慧克敵,盡量不用槍,並且沒有接吻鏡頭。這部影集的主要目標是美國觀眾,1961年4月~9月在美國CBS電視網播出,取代史提夫·麥昆所主演的西部影集"Wanted: Dead or Alive"(懸賞:無論死活,1958~61)。《無敵情報員》在美國因收視率不佳被中途停播,當美方不提供資金後,英國就不再拍下一季了。直到三年後才重新開拍了一小時的版本,又播了三季。
雖然這影集首季在美國不成功,但在歐洲很受歡迎,所以在1960年代初「007龐德」與「七海遊俠」影集都找過Patrick McGoohan來飾演,不過他都婉拒了,理由是無法認同「角色過於風流」。1970年代初在物色第三任龐德時又找上他,他再度婉拒;最後角色給了飾演「七海遊俠」的羅傑摩爾。
他在1970年代中期離開英國移居美國洛杉磯。1951年與女演員Joan Drummond結婚,婚姻維持到2009年Patrick McGoohan病逝,育有三名女兒。
片集範例 (以台視播出順序排列。YouTube影片若在右下角有白色方塊,先點之,然後點旁邊的齒輪;再點字幕,自動翻譯,可選中文字幕。)
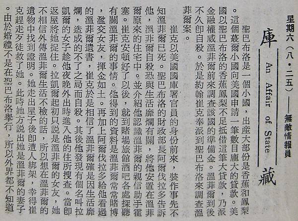
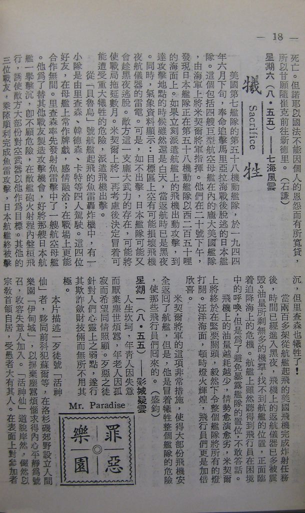
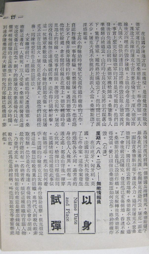
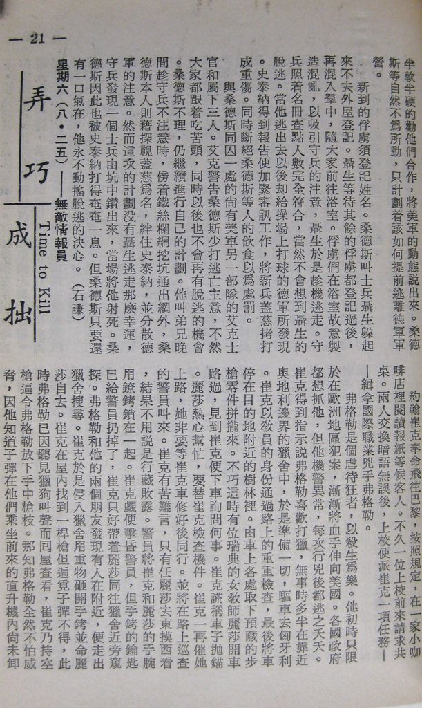
第1季10集
第1季36集
第1季33集
第1季15集
第1季14集
第1季34集
第1季13集
第1季38集
第1季19集
第1季29集(英文字幕)
第1季32集
第1季2集(英文字幕)
第1季3集(英文字幕)
第1季5集
第1季18集
第1季7集(英文字幕)

第1季23集(英文字幕)
第1季9集
第1季22集(英文字幕)
第1季30集(英文字幕)
第1季31集
第1季11集(英文字幕)
第1季17集(英文字幕)
第1季39集(英文字幕)
第1季16集(英文字幕)








































請先 登入 以發表留言。